§ 56. Podmínky pro nárok na důchod starobní jak byly stanoveny ve vládním návrhu, činily, jak se v důvodové zprávě uvádí, z bezpodmínečného důchodu starobního důchod podmíněný. Ježto při výpočtu pojistného 264 Kč ročně nebyla podmínka "klesl-li výnos z jeho podnikání nebo zaměstnání, uvedeného v § 2, odst. 1. aspoň o částku, jakou by činil důchod" respektována z důvodu vyloženého na stránce 84. důvodové zprávy, rozhodl se výbor tuto omezující podmínku škrtnouti. Ježto vysloveno přání, aby důchod vdovský byl přiznáván bez průkazu invalidity již v 65. roce, bylo poukázáno na to, že prakse ukazuje, že není nesnadno osobě starší 65 let prokázati invaliditu.
§ 57. Nad § 57 doplněn byl nadpis stejného znění jako v zákoně č. 221/1924, aby byla jednotnost také vzhledem k tomu, že i ostatní dávky byly vždy zvláště nadpisem uvedeny.
§ 58. Vzhledem k přílišné obtížnosti zjišťování byla podmínka odstavce 2b) vypuštěna.
§ 61. V důsledku změny § 58, odst. 2., byl upraven odstavec 2. tohoto paragrafu.
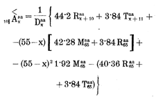
§ 65. Ustanovení o obytném byla doplněna ustanovením o příplatku k odbytnému, který jest vyměřován podle poslední výše důchodu, na který měl pojištěnec nárok v době úmrtí, tedy podle nejvyšší výměry důchodu toho pojištěnce a zvětšuje se s počtem příspěvkových let. Zatížení vznikající z tohoto ustanovení bylo nutno pojistně matematicky oceniti. Výpočty provedeny podle početních podkladů uvedených na stránce 88. a násl. č. tisku 5163 s použitím vzorce
Výsledky těchto výpočtů jsou uvedeny v tabulce II., která nahražuje tabulku č. 2a důvodové zprávy.
Tímto ustanovením má býti umožněno, aby v případech, kde pojištěnec platil delší řadu let a zemřel, aniž požíval sám důchodu a aniž pozůstalá vdova měla nárok na důchod vdovský (po př. vdovec na důchod vdovecký) ježto není invalidní, byly vypláceny značnější částky než původně stanoveny v tomto paragrafu. Byl-li pojištěnec pojištěn 20 let, bude vyplaceno Kč 184,440, byl-li pojištěn 30 let, bude vyplaceno Kč 322720, po 40letém pojištění bude vyplaceno Kč 4994 - zemře-li pojištěnec ho 45 letech, aniž požíval důchodu a není nároku na důchod vdovský, bude vyplaceno pozůstalým Kč 602140.
§ 67, odst. 3. Vládní návrh umožňuje podle § 85, odst. 3. snížiti pojistné pro určité vrstvy pojištěnců na 12 Kč měsíčně. Toto snížení pojistného bude míti ovšem v důsledku snížení pojistných dávek a vládní návrh předpokládal, že v těchto případech nastanu také přiměřené snížení státního příspěvku. Výbor byl však toho názorů, že snížené pojistné budu vyhrazeno jen pro pojištěnce hospodářsky slabé, a že by tudíž snížení státního příspěvku znamenalo pro ně příliš velkou újmu, kdyžtě již důchody jejich budou důsledku sníženého pojistného redukovány. Proto usnesl se výbor škrtnouti odst. 3., tak aby byl vyplácen i těmto osobám plný státní příspěvek ve výši uvedené v odstavci 1.
Odst. 5. vládního návrhu neposkytuje státního příspěvku těm důchodcům, jichž příjem přesahuje částku prostou daně z příjmu. Při reformě daňové uvažuje se o tom, aby, daně prosté minimum, jež jest nyní stejné pro všechny osoby, bylo napříště odlišeno pro osoby námezdně pracující a pro osoby samostatně činné. Ježto výbor se rozhodl poskytovati státní příspěvek v tomto zákoně za podmínek stejných, jako v zákoně o pojištění dělnickém, jevil se nutným odkaz na zákon č. 221/1924.
§ 68. Poněvadž důchodci mohou býti také osoby nezletilé (důchod sirotčí), bylo třeba stanoviti pro opatření podle § 68 svolení jejich zákonných zástupců.
§ 71, odst. 2. vládního návrhu bylo třeba rozděliti na dva samostatné odstavce, poněvadž bylo nutno odděliti dobrovolné pojištění pomáhajících členů rodiny od dobrovolného pojištění ostatních osob nepodléhajících pojistné povinnosti k vůli finančním úlevám poskytovaným podle § 133. Výbor právem vyžadoval, aby finanční správa poskytovala finanční úlevy pro dobrovolně pojištěné pomáhající členy rodiny, které budou zpravidla pocházeti z vrstev hospodářsky a sociálně slabých; naproti tomu však není odůvodněno, aby tak činila při dobrovolném pojištění osob ostatních, jichž pojištění má ráz spíše pojištěni soukromého. V důsledku toho ustanovení odst. vládního návrhu omezeno bylo pouze na nový odstavec 3. tohoto paragrafu.
§ 72, odst. 3. Poněvadž jest nutno počítati s tím, že bude zapotřebí určité doby, než vžijí se ustanovení tohoto zákona a vejdou ve známost všech nájemníků, nechtěl výbor, aby účinný, jež zákon spojuje s nezaplacením uznávacího poplatky nastaly, aniž by byl pojištěnec upomenut a upozorněn na následky. Týž účel sleduje nový odstavec 4.
§ 84, odst. 3. Výbor se usnesl, aby svolení nemocného vyžadovalo se nejen k jeho odevzdání do nemocnice, nýbrž do všech ústavů v odst. 2., písm. a) vypočtených.
§ 85, odst. 3. Potřebnost ustanovení tohoto odstavce odůvoděna jest v důvodové zprávě k vládnímu návrhu. Výbor provedl změny pouze potud, že k návrhu na snížení pojistného nevyžaduje se usnesení dvoutřetinové většiny výboru příslušných zájmových korporací, což jevilo se neúčelným vzhledem k různé úpravě způsobu usnášení u nich. Dále výbor zdůrazňuje, že pojistné může býti snížena také jen pro určité vrstvy pojištěnců, které tohoto opatření budou nezbytně potřebovati.
§ 87. Placení pojistného v pravidelných lhůtách měsíčních bylo by v mnohých případech pro pojištěnce velmi tíživé. Jest nutno respektovati důvody, které pojištěnci mnohdy bez jeho zavinění znemožňují pravidelné odvádění pojistného jako na př. pohromy živelní, neštěstí v rodině, nemoc a pod. U drobných zemědělců v době předežňové jeví se zpravidla naprostý nedostatek hotových peněz, naproti tomu nečinilo by na podzim zaplacení příspěvků třeba za několik měsíců velkých obtíží. Podobná období konjunkturální vyskytují se též u živnostníků, zvláště u živnostníků sezónních. Jest tudíž účelem dodatku, jejž výbor k paragrafu 87 navrhuje, aby přizpůsobily se pokud možno platební lhůty zvláštním hospodářským poměrům pojištěnců.
Tabulka č. II. Průměrné pojistné.
|
Muži |
Ženy |
muži i ženy |
|||||||||||
|
regenerace |
|||||||||||||
|
počáteční |
budoucí |
počáteční i budoucí |
počáteční |
budoucí |
počáteční i budoucí |
počáteční |
budoucí |
počáteční i budoucí |
|||||
|
Ryzí roční pojistné pro částky |
zvyšovací |
důchodu |
starobního |
66672 |
09696 |
33262 |
61196 |
10218 |
22521 |
65480 |
09896 |
29794 |
|
|
invalidního |
216449 |
53879 |
121118 |
199846 |
56804 |
91326 |
212836 |
54996 |
111500 |
||||
|
vdovského |
97329 |
25633 |
55286 |
- |
- |
- |
76146 |
15854 |
37438 |
||||
|
sirotčího |
110645 |
66780 |
84922 |
106613 |
71311 |
79831 |
109768 |
68508 |
83279 |
||||
|
vychovávacích příplatků k důchodu |
starob. |
22913 |
03327 |
11428 |
21031 |
03510 |
07739 |
22503 |
03397 |
10237 |
|||
|
inval. |
56644 |
20592 |
35503 |
52821 |
21731 |
29234 |
55812 |
21027 |
33479 |
||||
|
základní |
důchodu |
starobního |
10926 |
94492 |
07153 |
10274 |
04658 |
06013 |
10784 |
04555 |
06785 |
||
|
invalidního |
23474 |
17069 |
19718 |
22830 |
17551 |
18825 |
23334 |
17253 |
19430 |
||||
|
vdovského |
10803 |
07621 |
08937 |
- |
- |
- |
08452 |
04714 |
06052 |
||||
|
sirotčího |
09279 |
13845 |
11956 |
09803 |
14010 |
12995 |
09393 |
13908 |
12291 |
||||
|
vychovávacích příplatků k důchodu |
starob. |
03755 |
01543 |
02458 |
03531 |
01600 |
02066 |
03706 |
01564 |
02331 |
|||
|
inval. |
06208 |
06089 |
06138 |
06215 |
06245 |
06238 |
06210 |
06148 |
06170 |
||||
|
Ryzí roční pojistné pro příplatek k odbytnému Kč:.. |
389 |
857 |
689 |
||||||||||
§ 90, odst. 1. Výbor pokládal za příliš příkré ustanovení tohoto paragrafu, aby nový nabyvatel závodu nebo hospodářství ručil za nedoplatky předchůdcovy po dobu 18 měsíců. Zkrátil proto tuto lhůtu na dobu jednoho roku vzhledem k tomu, že ve vrstvách, z nichž pojištěnci budou z větší části pocházeti, nedějí se tyto převody majetkové za všech potřebných kautel, jako informovaní se u obvodové úřadovny, u finančních úřadů a pod.
Odst. 2. tvoří v důsledku vypuštění § 91 vládního návrhu nový § 91.
§ 91 vládního návrhu rozhodl se výbor vypustiti. Způsob uhrazování nezaplacených příspěvků přirážkou k dani výdělkové a pozemkové považoval výbor za neproveditelný v době, kdy obyvatelstvo jest přetíženo břemeny daňovými. Dále obával se výbor, že by toto ustanovení mělo špatný vliv na platební morálku pojištěnců, kteří by spoléhali na to, že pojištění bude za ně uhrazeno, aniž by jim vznikla nějaká újma. Na druhé straně byl si výbor vědom toho, že pojišťovna může plniti své úkoly řádně jen tehdy, bude-li míti zaručeno, že obdrží skutečně všechny příspěvky, s jimiž počítá. Kdyby se objevilo, že ustanovení zákona nedostačují, bylo by nutno opatřiti záruky další.
§ 97. Výbor vyhověl požadavku zájemníků, aby jmění pojišťovny ukládáno bylo tím způsobem, aby podporovány byly v prvé řadě zájmy těch vrstev obyvatelstva, z nichž pojištěnci pocházejí. Tento účel sledují doplňky v odst. 1., písm. b) a odst 4. tohoto paragrafu.
§ 110. Na konci odstavce prvého za slova "předseda pojišťovacího soudu" dodáno bylo "zřízeného podle zákona č. 221/1924", neboť rozhodování sporů z pojištění podle tohoto zákona jest svěřeno pojišťovacím soudům zřízeným zákonem ze dne 9. října 1924, č. 221 Sb. z. a n., o pojištění zaměstnanců pro případ nemoci, invalidity a stáří.
§ 114. Podobně jako u §u 110, jevila se potřeba výslovně stanoviti, že vrchní pojišťovací soud v tomto zákoně jest totožný s vrchním pojišťovacím soudem podle zákona č. 221/1924.
§ 119. vládního návrhu byl škrtnut, poněvadž jeho doslovné znění obsaženo jest již v § 234, odst. 2 zákona ze dne 9. října 1924, č. 221 Sb. z. a. n., a nebylo potřebí znova jej opakovati.
§ 120. Výbor zařadil tento paragraf, aby bylo zřejmo, že i ta ustanovení zákona č. 221/1924 o soudech pojišťovacích a o vrchním pojišťovacím soudu, která nebyla v tomto zákoně výslovně citována, platí o řízení u pojišťovacích soudů a vrchního pojišťovacího soudu o sporech i podle tohoto zákona.
§ 131. odst. 2. Lhůtu jednoho měsíce od odhlášení z povinného pojištění pro přihlášení do pojištění dobrovolného považoval výbor za příliš krátkou, ježto musí se zvláště pro první dobu počítati s tím, že zájemníci nebudou podrobně obeznámeni se všemi ustanoveními tohoto zákona. Výbor prodloužil tuto lhůtu na tři měsíce, aby umožnil bývalým povinným pojištěncům použíti co nejvíce dobrodiní pojištění dobrovolného.
§ 138. bod a). Výbor považoval za příliš kruté, aby pojištěnec trestán byl také tehdy, když přihláška učiněna byla nesprávně. V tomto případě nelze mluviti o zavinění pojištěncově, neboť nesprávnost přihlášky lze přičísti spíše tomu, že pojištěnci zvláště z venkova nejsou blíže obeznámeni s předpisy tohoto zákona. Z toho důvodu výbor škrtnut slova "nebo neučiní tak správně".
bod e). Tato ustanovení považoval výbor za příliš všeobecné, neboť by se mohlo vykládati také v tom smyslu, že povinnosti uložené tímto zákonem nevyhoví ten, kdo pro odůvodněnou nemožnost nemohl zaplatiti pojistného. Aby zabráněno bylo neodůvodněnému trestání pojištěnců z podobných titulů, rozhodl se výbor tento bod škrtnouti.
§ 114. Ježto již v §u 19, odst. 2. bylo schválení jednacího řádu vyhrazeno ministerstvu soc. péče v dohodě s ministerstvem obchodu a zemědělství, bylo třeba zařaditi podobný doplněk též do tohoto paragrafu.
§ 145, odst. 1. Výbor vyhověl přáním zájemníků, aby při jmenování přípravného sboru jednal ministr soc. péče v dohodě s ministrem průmyslu, obchodu a živností a zemědělství.
§ 146, odst. 1. Výbor považoval lhůtu 15 dnů pro první přihlášku za příliš krátkou, zvláště když trestá se podle § 138, bod a) pojištěnec, jenž nevyhověl včas bez náležité omluvy povinnosti ohlašovací. Prodloužení této lhůty na dobu 6 týdnů jevilo se tudíž zcela odůvodněným.
§ 148. Podle § 287, odst. 2. zákona č. 221/1924 stanoveno bylo, že jak účinnost zákona o pojištění zaměstnaneckém, tak účinnost zákona tohoto nastane v současnou dobu. Účelem tohoto ustanovení bylo, zajistiti osobám samostatným, že třída dělnická neztratí zájmu na uskutečnění pojištění osob samostatných, jakmile bude míti pojištění svoje provedeno. Ježto nyní jest zřejmo, že pojištění osob samostatných nebude oddáleno, splnilo toto junktim svůj účel.
Uvedení pojištění zaměstnaneckého v život bude možno v době brzké, poněvadž dány jsou proto podklady a zvláště usnadněna jest jeho výstavba organizační existencí nemocenských pokladen.
Naproti tomu pojištění osob samostatných vyžaduje ještě propagace mezi vrstvami, pro něž jest určeno, a potřebuje vybudování organisace od samého základu. Proto bude k jeho účinnosti zapotřebí delší doby, již však nelze předem stanoviti. Ponechává se tudíž vládě, aby nařízením určila dobu jeho účinnosti.
Výbor jest však přesvědčen, že bude možno tak učiniti v době poměrně krátké, zvláště když § 145 návrhu zákona, jímž zmocňuje se ministr sociální péče v dohodě s resortními ministry jmenovati přípravný sbor ku provedení zákona o pojištění osob samostatných, nabývá účinnosti dnem vyhlášení.
Jsa veden vyloženými úvahami, sociálně-politický výbor navrhuje:
Poslanecká sněmovno, račiž se usnésti:
Vládní návrh zákona o pojištění osob samostatně hospodařících pro případ invalidity a stáří (tisk číslo 5163) se schvaluje v připojeném znění, vypracovaném sociálně-politickým výborem.
V Praze dne 29. května 1925.
|
Předseda: |
Zpravodaj: |
|
Karel Brožík, v. r. |
Jan Dubický, v. r. |
Resoluce
1. Vláda se vybízí, aby co nejdříve jmenovala výbory pro provedení pojištění osob samostatně hospodařících i pro sociální pojištění zaměstnanců.
2. Vláda se vybízí, aby s největším urychlením předložila osnovu zákona o reformě daňové a o snížení daní, aby tak zemědělskému a živnostenskému stavu umožněno bylo platiti pojistné tímto zákonem stanovené.
3. Vláda se vybízí, aby zákonodárným sborům předložila osnovu zákona, podle kterého bylo by možno odstupňovati dávky pojištění invalidního při nižším stupni trvalé neschopnosti výdělečné.
4. Vláda se vyzývá, aby předložila zákonodárným sborům osnovu zákona, podle kterého bude pojišťovně osob samostatných vyplatiti k účelům provádění tohoto zákona částku, kterou stát ušetří tím, že tento zákon nabude účinnosti později nežli zákon uvedený v odst. 3. § 148.
5. Vláda se vyzývá, aby předložila sněmovně nejdéle do 2 měsíců osnovu zákona o podpoře osob překročivších 65. rok, jehož předložení slíbila ve svém programu.
Výbor rozpočtový při jednání o vládním návrhu, tisk čís. 5163, jednajícím o pojištění osob samostatně hospodařících pro případ invalidity a stáří, podrobil předlohu tuto zkoumání zvláště se zřetelem k finančním povinnostem státu zákonnou předlohou touto mu uloženým. Jedná se zejména o § 2, odst. 2, který ukládá pojistnou povinnost i těm občanům, kteří vykonávají zákonitou presenční službu vojenskou podle §§ 17 a 61 post. odst. branného zákona ze dne 19. března 1920, č. 193 Sb. z. a n., byli-li již dříve povinně pojištěni nebo započnou-li činnost povinně pojištěnou v šesti měsících po návratu z presenční služby (§ 132). Pojištěnců těchto má býti 7486 a náklad, který by pojištění jejich vyžadovalo, dosáhne výše 1,976.000 Kč ročně. Náklad tento má býti stálý. Další zatížení státu vyplývá z § 67 této osnovy. Jedná se o závazek, kterým stát má přispívati ke každé rentě ať invalidní nebo starobní částkou 500 Kč, k důchodu vdovskému nebo vdoveckému 250 Kč. K důchodu sirotčímu jednostranně osiřelému 100 Kč a oboustranně osiřelému 200 Kč ročně. Finanční povinnost státu bude se jeviti podle tabulek čís. 14 a, 14 b, vytištěných v důvodové zprávě vládního návrhu str. 87 tisku čís. 5163.
Tabulky tyto, pokud příspěvku státu k rentám se týče, počítány jsou tak, jakoby všichni rentisté z tohoto zákona dostávali plný státní příspěvek bez zřetele ku § 67, odst. 4.
Vedle těchto přímých povinností státních financí, které zatěžovati budou státní rozpočet pro doby příští, jsou ještě jiná ustanovení, plynoucí z tohoto zákona, která budou tak činiti nepřímo. Buď povinnosti, které vyžadovati budou nákladu a na druhé straně ustanovení, které zatíží administraci státu a třetí, které osvobozují od různých poplatků a tím tangují příjmy státu.
Nákladu vyžadovati bude zřízení soudů, které rozhodovati budou sporné záležitosti v rámci působnosti tohoto zákona povstalé, administraci státu zatížiti má osvobozeni poštovného a pod., úlevy finanční určuje § 133 tohoto zákona. Všechny tyto úlevy nenechají se odhadnouti a nelze je proto ciferně uvésti.
Předloha tohoto zákona má zahrnovati 1,173.144 pojištěnců, z nichž 665.833 náleží stavu zemědělskému a 507.311 stavem jiným, zejména živnostenskému. Pomíjí pomáhající členy rodiny hlavně z důvodu, že pojistné bylo by, se zřetelem k hospodářským poměrům, příliš zatěžující a ponecháno je k eventuelnímu pojištění dobrovolnému.
Kterým vrstvám budou náležeti pojištěnci z tohoto zákona, ukazuje nejlépe fakt, že v historických zemích podle stavu důchodců roku 1917, do příjmu 12.004 Kč ročně tvoří 95,14 % a roku 1918 93,51 % veškerých důchodců. Většinu jich tvořiti budou jednotky samostatně hospodařící sociálně slabé a nezabezpečené. Tato skutečnost je důvodem, aby společnost i stát podepřel podobné existence a snažil se je podepříti a zabezpečiti.
Rozpočtový výbor pojednav o této předloze se stanoviska povšechného i specielního, usnesl se navrhnouti poslanecké sněmovně N. S., aby osnově této dostalo se ústavního schválení.
V Praze dne 29. května 1925.
|
Předseda: |
Zpravodaj: |
|
Bradáč, v. r. |
Jos. Netolický, v. r. |

